国科大物理科学学院原子与分子课题组在微波电场量子传感器领域取得重要进展

钟志萍,贾凤东

 

       通过主动操控量子态、应用叠加性、纠缠、非局域性、不可克隆性等量子效应的第二次量子技术远远优于相应的经典技术,同时建立无线电量子计量基准是国际计量关注的热门问题,因此基于里德堡原子的微波电场传感器得到迅速的发展。基于对外场敏感的里德堡原子利用电磁感应透明 (EIT) 和AC斯塔克位移这两种量子相干现象,入射微波作用于对外场敏感的里德堡原子,然后通过测量探测光的光谱得到微波特性。具体说,微波场耦合相应的两个里德堡能级,会使EIT光谱发生Autler-Townes分裂(AT分裂)。当微波场的强度足够大以至于AT分裂的间距大于EIT的线宽时,通过测量EIT-AT分裂的间距可以得到微波电场的强度。但当微波场的强度小到无法区分AT分裂时,该方法在这样的弱场情况下失效,而弱场测量是微波在各个应用领域的关键。

       国科大物理科学学院贾凤东副教授课题组与清华大学核能与新能源技术研究院谢锋副教授课题组合作,提出了一种高效、鲁棒的将微波电场强度测量扩展到弱场区域的新方法,在该研究领域取得了突破性进展。该方法利用辅助微波场修饰的里德堡原子突破了EIT-AT分裂间距在弱场测量领域的局限,并大大降低了测量的时间成本和经济成本,可迅速移植到各种微波测量场景中并提高测量精度。该研究首次在理论和实验上证明,在简单的室温铷原子池的实验装置上,利用辅助微波修饰里德堡原子可以将直接可溯源到国际单位制(SI)的微波电场强度的下限扩展两个数量级。具体的做法是,先用辅助微波得到EIT-AT分裂,再利用已经产生的EIT-AT分裂去测量待测微波电场强度。从而将EIT-AT分裂光谱的可分辨精度从几MHz提高到几十kHz,对应的微波电场强度从 3 mV/cm降到~31 μV/ cm,将测量弱场的极限提高了100倍。这种测量微弱信号的方法同样适用于扩展其它量子传感器的检测极限。

       国科大物理科学学院贾凤东副教授为论文第一作者,国科大钟志萍教授和清华大学谢锋副教授为通讯作者。刘修彬、梅炅、张怀宇、俞永宏是国科大的研究生,董海玥、林兆青是国科大的本科生。研究人员还包括清华大学的张剑副研究员。

       这项工作得到了国家重点研发计划项目(2017YFA0304900,2017YFA0402300)、北京市自然科学基金(1212014),国家自然科学基金委(11604334, 11604177), 中国科学院先导项目(XDPB08-3),中央高校基本科研业务专项费资金资助。

原文链接:

Feng-Dong Jia, Xiu-Bin Liu, Jiong Mei, Yong-Hong Yu, Huai-Yu Zhang, Zhao-Qing Lin, Hai-Yue Dong, Jian Zhang, Feng Xie,* and Zhi-Ping Zhong†. Span shift and extension of quantum microwave electrometry with Rydberg atoms dressed by an auxiliary microwave field. Physical Review A 103, 063113 (2021).

DOI: 10.1103/PhysRevA.103.063113

https://journals.aps.org/pra/abstract/10.1103/PhysRevA.103.063113

20210716084930

图1 辅助微波修饰的里德堡 EIT -AT 分裂的原子能级图。实验使用的是87Rb原子。图中ωp是作用于能级|1>和|2>的探测光,ωc是作用于能级|2>和|3>的耦合光,探测光和耦合光与能级|1>、|2>和|3>构成里德堡EIT。ωa是作用于能级|3>和|5>的辅助微波,在辅助微波的修饰下,能级|3>和|5>产生AT分裂。ωt是作用于能级|3>和|4>的待测微波。能级|3>在辅助微波场的作用下出现的两条“新”线,然后这两条“新”线以类似于通常的 AC 偏移的方式对待测弱微波场ωt产生响应,并继续以相反的方式进行移动,最终 EIT-AT的扩大分裂可用于测量待测微波场的电场强度。

20210716084937

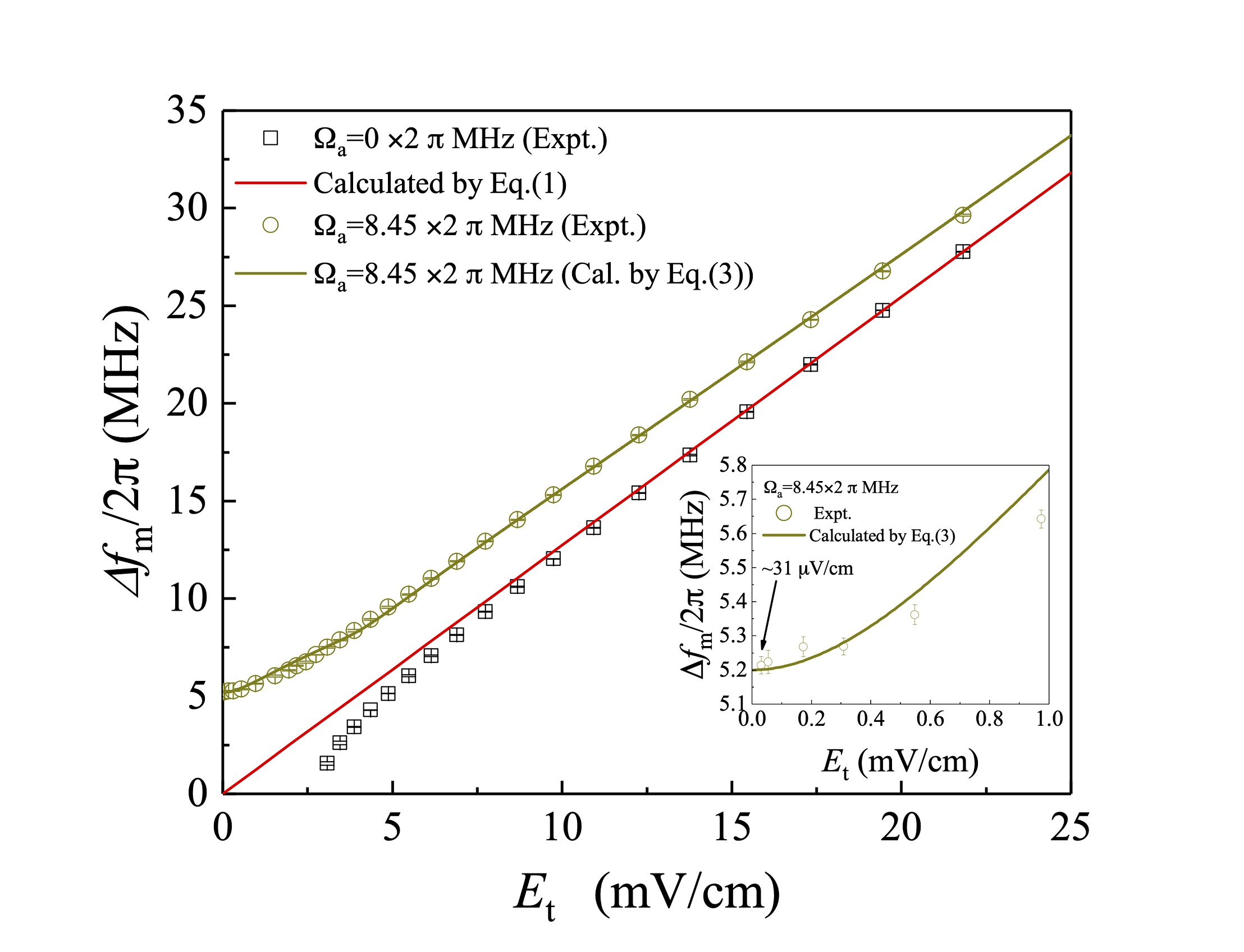
图二 有/无辅助微波场下的里德堡EIT-AT分裂与待测微波电场的关系。在没有辅助微波场时,如图中黑色方块所示,当待测微波电场的强度小于3 mV/cm时,EIT-AT分裂就不可区分,这意味着在我们的实验装置中利用传统EIT-AT分裂的方法只能测量到3 mV/cm。在辅助微波场存在时,如图中绿色圆圈所示,EIT-AT分裂对待测弱微波场的响应可以到~31 μV/ cm.